正在查看 23 个帖子:1-23 (共 23 个帖子)
- 作者帖子
观山游客书卷内容
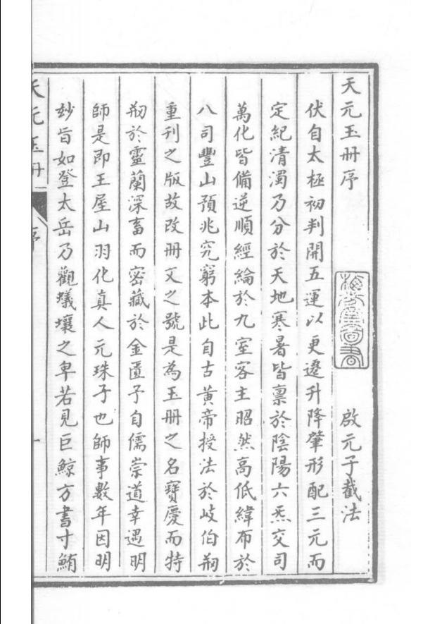
《天元玉册》,一作《天元玉策》(见《郡斋读书后志》),五运六气学专著,其法以运气学说结合奇门遁甲之学,独辟蹊径。三十卷,唐·王冰撰。《古今医统》称此书“元诰《内经》之意,益之以五运六气之变”。现今尚存28卷,缺第十、第十一卷。
另有《天元玉册元诰》十卷,不知何人所作,历汉至唐诸《艺文志》俱不载录,其文自与《内经》不类,非战国时书。
未曾管理员
观山游客感谢先生!
LixSo游客
六壬学徒游客谢谢分享,我有学乐酷的积分,已经下载下来了,有需要的可以找我
尔游客
LixSo游客
鹤文游客
链接:https://pan.baidu.com/s/1bKJxMbnvgMKufwIE4-N3iw
提取码:a6d0
复制这段内容后打开百度网盘手机App,操作更方便哦--来自百度网盘超级会员V6的分享
鹤文游客




黄金游客@鹤文 #20765
有(妇人良方大全)没有
LixSo游客@鹤文 #20765
太感谢您了!!
易民游客@鹤文 #20765
先生链接失效了可否再发一下
易民游客@六壬学徒 #20754
希望老师您能惠赐《天元玉册》
观山游客@鹤文 #20765
先生,链接失效,能否再分享一下,不胜感激!感谢!
观山游客@LixSo #20781
您下载下来了么?能否分享一下,感谢!
ygzst游客
观山游客@ygzst #25948
感谢!
一夜情深游客@尔 #20756
兄弟,可否从新分享一下
村长游客
早晚子时游客天元玉册 (Z-Library)
玄玄烂柯游客那么,天元是什么意思呢?
游客游客
向者游客我还以为是《庚辛玉册》
- 作者帖子
正在查看 23 个帖子:1-23 (共 23 个帖子)
正在查看 23 个帖子:1-23 (共 23 个帖子)







