- 作者帖子
镜像之美游客翁方纲著述宏富,版本复杂,台湾有翁氏手稿,任真先生曾经有扫描,惜乎当时软件功能有限,不尽如人意,现在已难得一见。翁氏又是“肌理说的”创辟者,影响也较为深广。《清代诗文集汇编》等之外,如能将台湾藁本、国图等善本汇集一处,则功在千秋,嘉惠学人无算!http://read.nlc.cn/advanceSearch/allRes?searchWord=#hahaha 不胜感荷!
未曾管理员
镜像之美游客@未曾 #21897
感谢未曾先生教示。
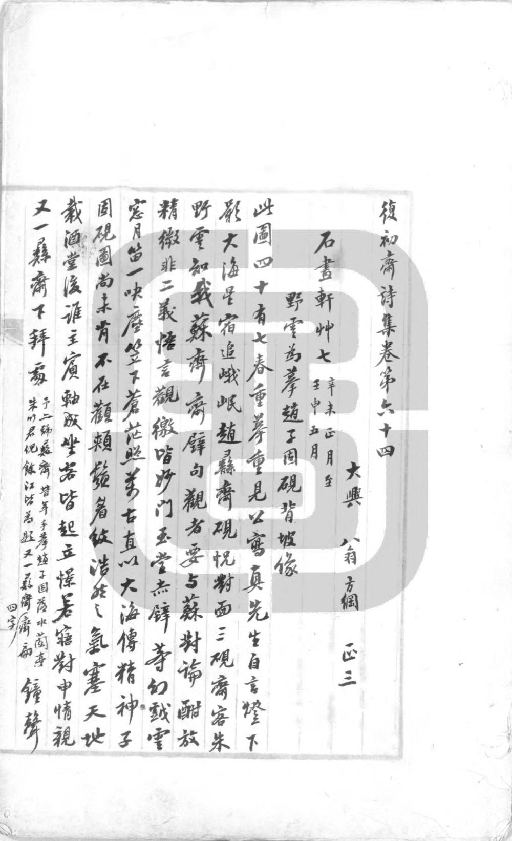
翁方纲(1733~1818), 清代书法家、文学家、金石学家。字正三,一字忠叙,号覃溪,晚号苏斋。直隶大兴(今属北京)人,乾隆十七年进士,授编修。历督广东、江西、山东三省学政,官至内阁学士。精通金石、谱录、书画、词章之学,书法与同时的刘墉、梁同书、王文治齐名。论诗创“肌理说”,著有《粤东金石略》、《苏米斋兰亭考》、《复初斋诗文集》等。翁方纲作诗共2800余首,主要可分两大类。一类是把经史、金石的考据勘研写进诗中的“学问诗”。这类诗多七言古诗,诗前有序或题注,这种序、注本身也是经史或金石的考据勘研文字。其诗几乎可以作为学术文章来读,往往写得佶屈聱牙,毫无诗味。如《成化七年二铜爵歌》等即是。时人洪亮吉批评他说:“最喜客谈金石例,略嫌公少性情诗。”(《北江诗话》卷一)另一类是记述作者的生活行踪、世态见闻或写山水景物的诗。这类作品也大半缺乏生活气息和真情实感。其中一些近体诗,偶有佳构,如:“客路旬经雨,林峦翠倚空。不知秋暑气,直与岱淮通。旧梦千涡沫,思寻百步洪。大河西落日,穿漏一山红”(《高昭德中丞招同裘漫士司农钱稼轩司空集云龙山登放鹤亭四首》其二),“秋浸空明月一湾,数椽茅屋枕江关。微山湖水如磨镜,照出江南江北山”,“门外居然万里流,人家一带似维舟。山光湖气相吞吐,并作浓云拥渡头”(《韩庄闸二首》),颇有宋诗的清空气味。
未曾管理员@镜像之美 #21910
感谢理解,如有可能还请尽量精确到书的某个版本。我们无法在一个帖子列出作者的所有著作,所有版本。特别是一些知名的大家。
叶叶叶子游客@镜像之美 #21910
经查,哈佛图书馆有该书的光绪刻本,可自行下载。
iiif.lib.harvard.edu/manif...2097639$1i
链接生成网址:ok.daoing.com/hafo/
镜像之美游客@叶叶叶子 #21914
谢谢!求
责任者:(清)翁方綱撰
出版发行项:清[1644-1911]
善本书号:09443
善本书号:09443版本项:抄本版本书目史注:11行21字,紅口,紅格,左右雙邊。四部分类号:集 別集 清现有藏本附注
read.nlc.cn/allSe...1999024947
等早期版本
未曾管理员@镜像之美 #21979
已归档此本(此本仅存一卷)
复初斋诗集.存1卷.清.翁方纲撰.书号14938.清稿本
下载链接: nx.shuge.org/wl/?i...D3dzt8cpRN中国国家图书馆藏(有水印)

镜像之美游客@未曾 #21993
感谢未曾先生无私援手!!!!!
- 作者帖子
正在查看 8 个帖子:1-8 (共 8 个帖子)
正在查看 8 个帖子:1-8 (共 8 个帖子)
正在查看 8 个帖子:1-8 (共 8 个帖子)


