正在查看 26 个帖子:1-26 (共 26 个帖子)
- 作者帖子
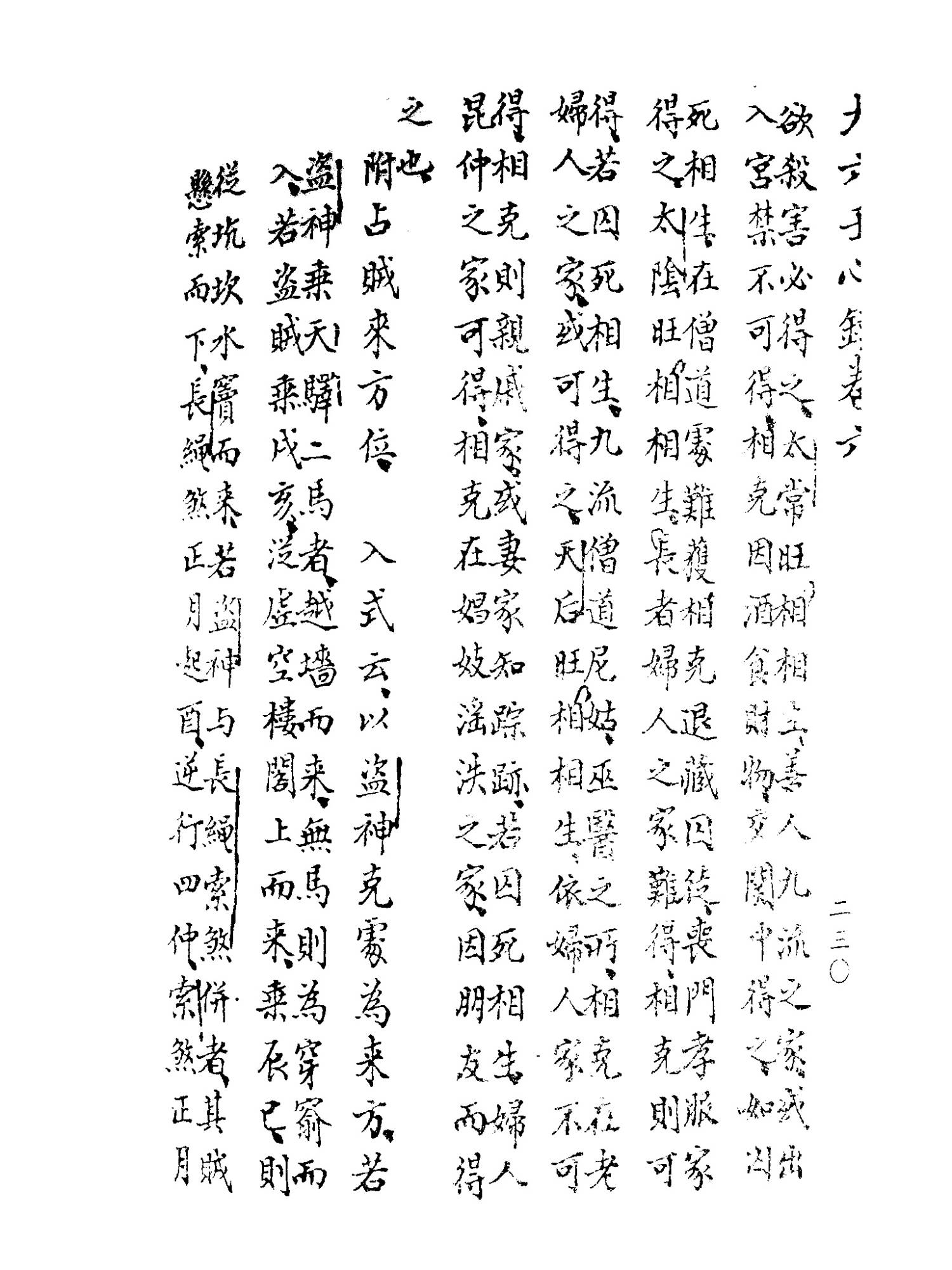
青风游客打扰了,最近我在看这本心镜的时候,发现缺失了三页。市场上流通版本为158页,其中PDF第
112页,原页码223开始,缺少224~225、226~227、230~231共三页。但我看简体录入版,并没有缺失这部分的内容,推测应该PDF缺失而非原书就缺,故恳求不缺这三页的完整版本,不方便的话就这三页书影也行,谢谢大家了~

青鹤沐阳游客
年与时驰游客
青鹤沐阳游客
张新明游客缺页效果不好,会修的帮忙修一修。




张新明游客


acj游客@青风 #97116





acj游客@acj #97159

acj游客只能修到此程度了
青风游客@青鹤沐阳 #97120
感谢分享,不过不是一个版本的呢
青风游客@年与时驰 #97122
第一次见这个版本,这下可以参照着看了,感谢分享~
一介村夫游客@年与时驰 #97122
先生您好,这个分享失效了,能再分享一次吗?谢谢啦!
一介村夫游客@青鹤沐阳 #97128
大佬能否再分享一下,谢谢啦!
一介村夫游客@青风 #97190
你能再次分享一下嘛?感谢!
年与时驰游客
一介村夫游客@年与时驰 #104993
万分感谢先生无私奉献!!!!
一介村夫游客@清风慕竹 #105000
感谢分享!!
清風慕竹游客上面的123云盘还可以打开下载的,我把那几页都补进去了
清風慕竹游客
二两猪头肉游客@清風慕竹 #113062
感谢先生 您辛苦
🟥🟥7413161413111111游客谢谢
- 作者帖子
正在查看 26 个帖子:1-26 (共 26 个帖子)
正在查看 26 个帖子:1-26 (共 26 个帖子)















